NOVEMBER 27, 2012
Rocky Joy is Back from Colorado?

ROCKY JOY RESIGNS AT THE END OF MAY/2007
SUSANVILLE COUNCIL MEMBER ROCKY JOY MAKES DEAL WITH MIKE TABORSKI (Lassen County Times Owner)
MIKE TABORSKI (Lassen County Times owner) GIVES SUSANVILLE CITY COUNCIL MEMBER ROCKY JOY THE LISTING FOR HIS PROPERTY ON MAIN STREET
THIS IS WHAT ROCKY JOY RECEIVED FOR HIS support and vote, an estimated $16,000 commission
what did the other four receive????
INCREDIBLY UNTIMELY SCAM BY THE SUSANVILLE COUNCIL
This is a 2006 listing

Susanville City Councilman Rocky Joy promoted Taborski's "deal" from day one.
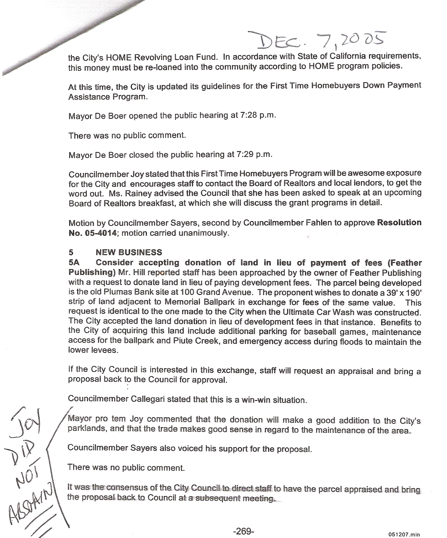
On December 7, 2005 Council Member Joy voted to move forward with Taborski's deal

On February 15, 2006, Rocky Joy made the motion to approve the Taborski "fees for land deal"

On April 19, 2006 the "Deal" was signed
Rocky Joy left the room for the vote

THE SUSANVILLE CITY COUNCIL MAKES PHONY DEAL WITH THE LASSEN COUNTY TIMES OWNER MIKE TABORSKI
*Dirty Deals*
Mike Taborski allegedly made a deal with the City of Susanville Council Members so that the Deed of Trust would never be recorded and he would not have to pay developer fees for his new office building on 100 Grand Avenue.

Public documents show that the Agreement was to be closed no later than April 30, 2006.

As of May 12, 2006 Taborski still owned the entire lot at 100 Grand Avenue in Susanville and there are no plans, according to Kathleen Lazard (Susanville City Attorney), to record any documents to state otherwise.
Kathleen Lazard, City Attorney, did not record the deed as required by the "Agreement"


The Feather River Publishing Company NEVER OWNED 100 GRAND AVENUE IN SUSANVILLE.
No "transfer" of the portion of the property "sold" to the City of Susanville has been recorded.
No application for a "line lot adjustment" has been filed by the City of Susanville or Mike Taborski.
No justification of Taborski's property being de-valued by the Assessor from $140,000 to $91,800 after he bought it. Taborski bought this property on 5/12/05. Were deals being made with the City of Susanville and the County Assessors Office a year ago?
The value of Taborski's lot was reduced by 35% to reduce his taxes

LASSEN COUNTY TIMES OWNER, MIKE TABORSKI TAKES OUT LOAN ON THE 100 GRAND AVENUE PROPERTY
According to public documents, this transaction was recorded on 4/11/06. Plumas Bank issued the loan on the property as it existed on December 27, 1978
Taborski allegedly offered the City of Susanville the "land for developer fees" deal on February 15, 2006.
Taborski takes out a loan on the full lot, at 100 Grand Avenue, on April 5, 2006
The City Council waits until April 12, 2006 to approve the "deal", just one week after Taborski took out a loan for the "entire" lot that included the 39'x 193'portion of the February 15 Susanville deal.
The "deal" was signed on April 19, 2006 with Rocky Joy now abstaining from the vote
Was Plumas Bank snookered? Taborski allegedly gave away 10% of 100 Grand Avenue property before the loan was approved.

LASSEN COUNTY TIMES CONSTRUCTION ENCROACHES ALLEY ACCESS
Photo: 2:19 PM 5/7/06
The Lassen County Times traded 39'x 190.93' of this lot at 101 Grand so that the City of Susanville would have access to the alley (the alley is owned by the City of Susanville)
The Lassen County Times has fenced off the portion of the lot that the City allegedly purchased and the alley that the City owns.
IS THIS NOW A PUBLIC SAFETY ISSUE?
There seems to be no access at all.......for the City.

City of Susanville's Bad Decisions Continue to Cause Lost Revenue
Did the City just buy good press?
On February 15, 2006, according to the Susanville City Council minutes, Mike Taborski (Lassen County Times, aka Feather River Publishing) presented his offer to sell Susanville a portion of his lot (100 Grand Avenue) he acquired a year ago (from Plumas Bank) not for cash.....but for a waiver of developer fees....$30,000 + in developer fees (Revenue the City desperately needs).
Susanville City Council Meeting Minutes, February 15, 2006

The City Manager ordered an appraisal on this property in December 2005
There is no record of the City Council voting on spending money on an appraisal....no mention at all in the meeting minutes.
On January 3, 2006, an appraisal was done for the City of Susanville for Mike Taborski's property. The appraisal was done by John Bentley.

Mr. Nebecker told Rocky Joy that the size of the property in question was 39' x 150'.
The piece of property is actually 39'x 190.93'
Mr. Nebecker has a little trouble with math......this is approximately 1/6th of an acre. One Acre is 4840 sq. yards.
Let's do the math........39'x190' = 819 sq. yards
Mr. Nebecker told the City Council that "39'x150', or a little over an acre
Did Rocky Joy intentionally mislead the public and the other Council Members when he stated, "Mayor pro tem Joy stated that it was advantageous to own the property as it will permit City access all the way to the alley"
FACT: The City owns the alley. Joy's statement is superfluous

This was the deal
NOTE: Try selling a portion of your lot.....you can't do it.........more on this later

There is no advantage at all for the City to acquire this portion of Mike Taborski's property.

Mike Taborski's property value was reduced after he purchased this property on May 12, 2005. This reduces his taxes.........which results in lost revenue for the City.......DEALS WERE MADE
Is Taborski cheating the people of Susanville?

Taborski's (owner of the Lassen County Times) property was appraised at $1.93 sq. ft.
So why did the City of Susanville pay $2.00 sq. ft.
7446 sq. ft @ $1.93 sq. ft. = $14,370.78
7446 sq. ft @ $2.00 sq. ft = $14,892.00
It was just probably easier to round it up to an even number.......
This was just another Dog & Pony show at the taxpayers expense. Shame on Taborski and shame on the City Council